关键词: 液下泵、自吸泵、螺杆泵

ZE化工流程泵结构描述
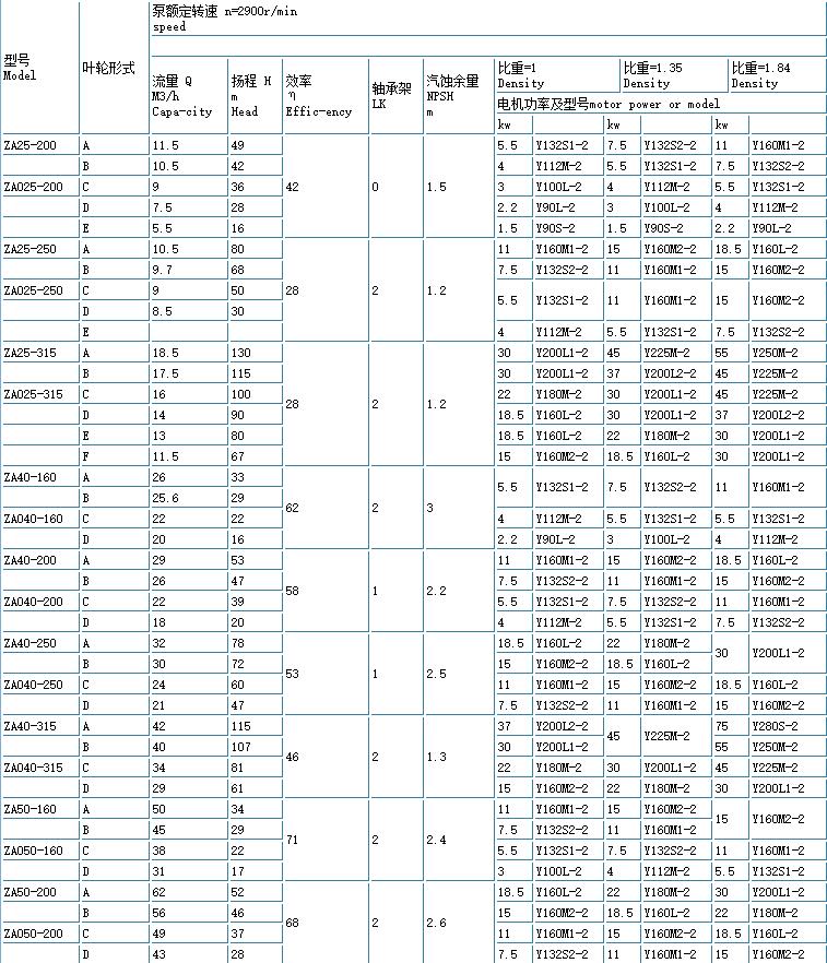
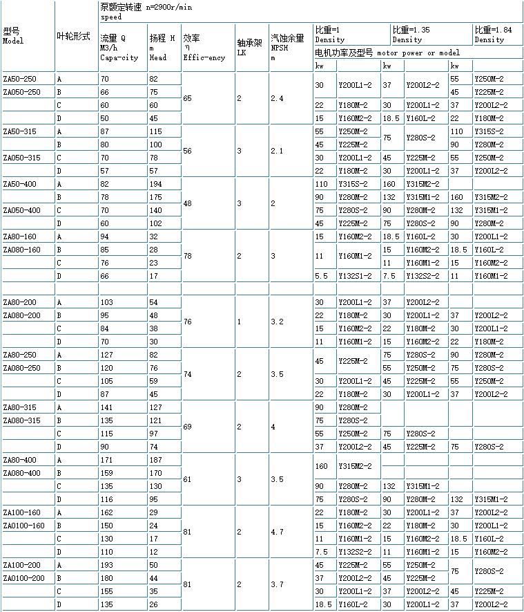
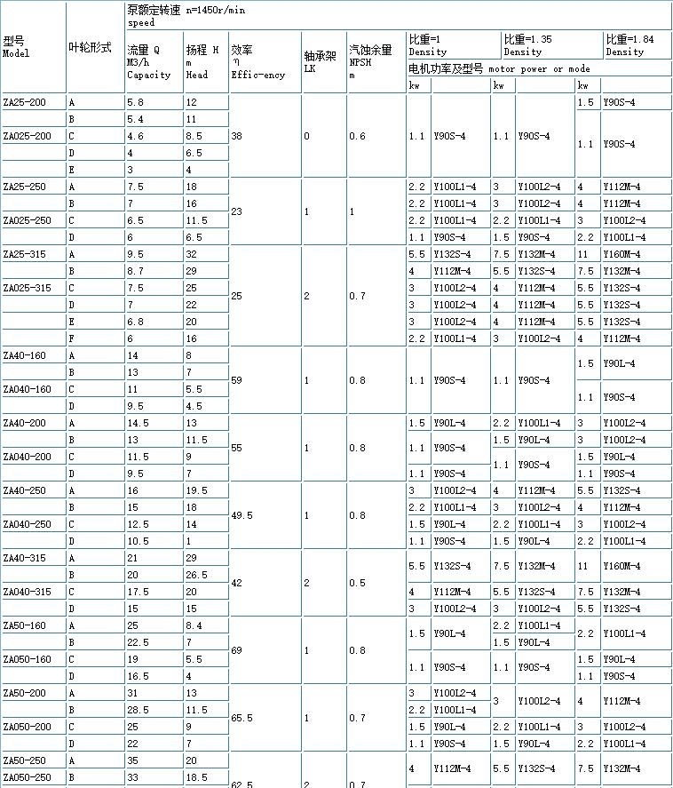
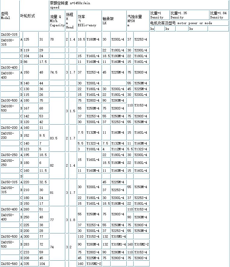
ZA、ZE型石油化工泵执行API610标准,口径25~400mm,流量可达2600m3/h,扬程可达250m。
同时可保证流程工作要求的维修条件,轴承、轴封和叶轮为一转子组件可进行迅速的拆卸或装配,大大缩短了停车维修周期。
叶轮为单吸径向闭式,带有叶轮耐磨环和泵体耐磨环,磨损后只需要更换耐磨环可减低维修和构件的成本。
泵盖上带有冷却和加热轴承箱体的结构。轴封有填料密封和机械密封两种类型,用户可根据不同使用工况进行选择。
轴承用润滑油润滑,轴承支架上带有恒位油环,轴承支架分无冷却、水冷却、风扇冷却结构。泵与电机间使用弹性联轴器作为连接元件,该元件可补偿小的轴向、径向和角度位移。
ZA、ZE型石油化工泵属于单级卧式离心泵。ZA型泵的泵体为脚支撑,ZE型泵的泵体为中心支撑。该两种系列泵均为单级径向叶轮,轴向吸入,径向排出。根据使用条件,采用前、后磨损环及平衡孔进行水力平衡。轴封采用填料密封、单端面机封或双单端面机封,并设置冷却、冲洗或密封液系统。标准管路按API610规范设计。吸入、排出管路法兰的压力等级相同。从驱动电机端看,泵的转向为顺时针转动。






