欢迎来到江苏玖弘泵业有限公司官方网站
江苏玖弘泵业有限公司

免费服务热线

18115917887

您当前的位置: 首页 > 螺杆泵 > 螺杆泵产品

板框压滤机污泥专用泵-干泥输送泵-江苏玖弘泵业

产品简介

净水厂浓缩污泥的流量一般都不太大,污泥浓度高,并含有细小颗粒。当浓缩工艺采用气浮时,污泥中带有大量气泡。为了提高污泥脱水效果,往往需要投加絮凝剂,为保护絮体不被破坏,输送过程不宜产生高速旋转或较大剪切力。另外,污泥泵的选择,还应与脱水机类型相适应。如当采用板框压滤机时,其进泥过程中的压力由低到高变化,流量由大到小变化。从目前的泵型使用情况看,离心泵应用范围较广,但其对输送介质的剪切力较大。隔膜泵多用于腐蚀性介质和加药系统。柱塞泵价格昂贵,多用于对压力要求非常高的情况。螺杆泵和凸轮转子泵能够连续、均匀地输送介质,没有湍流、搅动、脉动和剪切现象,特别适用于泵送浓缩污泥,大程度地保持污泥性质,保护絮体不被破坏,从而获得佳的脱水效果。

产品详情


性能特点:

最高吸上高度可6米水柱

可双向旋转,双向输送(需配备反转定子)

安装方式灵活.

运行顺畅、平稳、噪音低、无脉动、无剪切

输送介质温度范围-20℃~ 150℃


螺杆泵泵体出现剧烈的振动,水泵出现剧烈震动原因有如下几个:

电动转子出现不平衡转动的现象。

轴承出现磨损发生弯曲。

水泵转动部分零件出现松动、破损。

管路支架不稳,出现晃动。

水泵装不牢或者安装过高。

电机滚珠轴承损坏。

水泵主轴发生弯曲,主轴与电机主轴不平行。


产品特点

对介质的适应性强、流量平稳、压力脉动动小、自吸能力高,这是其它任何泵种所不能替代的。

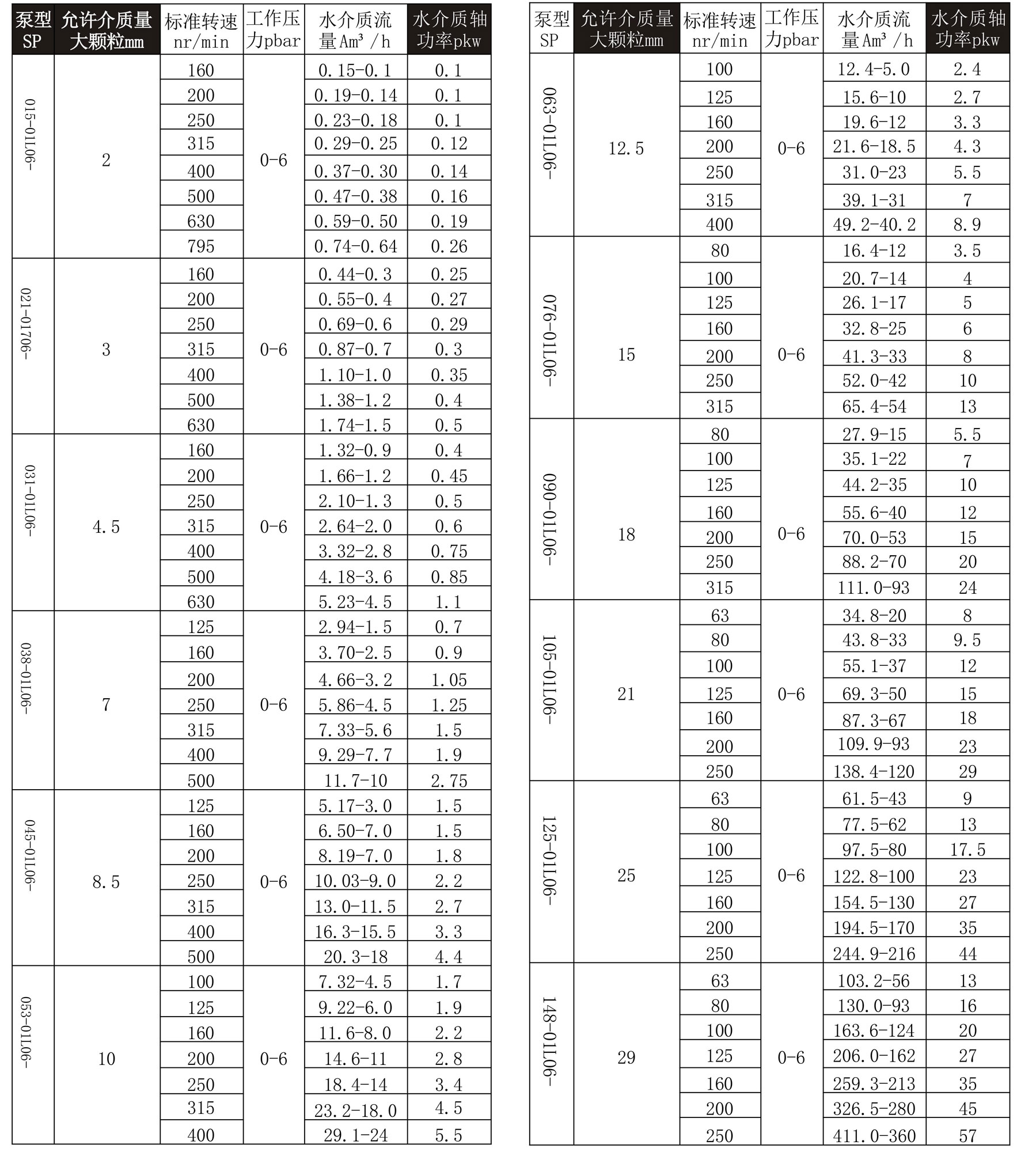
型号参数

性能参数用于:G型系列,NM型系列,BN型系列,C型系列等,具体选型可联系工程师

螺杆泵性能参数(1)_00(1).png

螺杆泵性能参数(1)_01.jpg

螺杆泵性能参数(1)_02.jpg


相关文章

十余年专注泵业 泵阀就选我们

以世界技术为先导,国际水平为目标,向科技求发展,向质量求生存,向信誉求市场,向管理求效益

联系电话:18115917887 立即咨询