关键词: 液下泵、自吸泵、螺杆泵
强制喂料螺杆泵的特点:
连续低脉动输送,不受压力与粘度波动影响输送量与转速成正比,在整个转速范围内均能高精度计量,高压无阀输送,机械密封直接位于泵腔入口下方,无需外部冲洗密封。
强制喂料螺杆泵的三大系列
直连型(优势:减速机与直联架通过减速机法兰连接,具有结构紧凑。总重小,维修方便,效率高等特点);
轴承支架型(优势:配有大型双轴承,使泵运行稳定性提高,还有以配用各种类型的驱动装置);
敞口料斗强制喂料型(优势:敞口料斗设计更有利于介质进入泵腔,传动部件带有螺旋推进器,以便将介质送入定子个转子之间,特别适合输送流动性差、高粘度、含有大量固体颗粒的介质)。
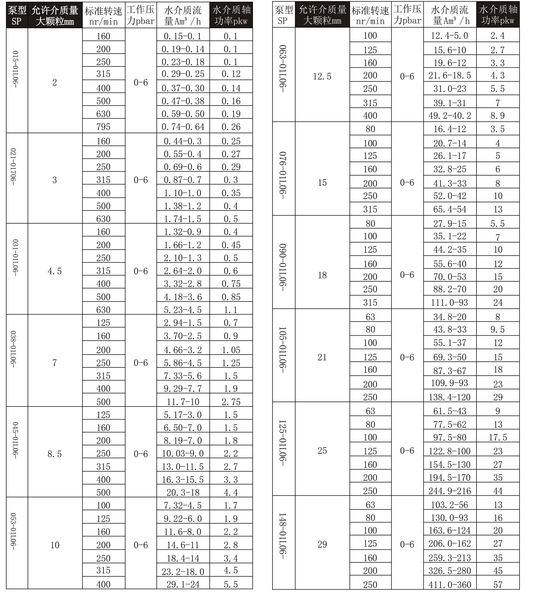
强制喂料螺杆泵可供使用范围
流量最大可达 400 m3/h
压力最高可达 24 bar
采用不同材料,从碳钢至不锈钢或者各种合金材质
定子可采用不同橡胶,
选用不同机械密封、填料密封或集装式机封
我们的设计优势:易维修、可靠性、运行安全
强制喂料螺杆泵用于造纸、环保技术、食品、化工及石油等领域。


