液下螺杆泵-5米液下螺杆泵(可做8米)-江苏玖弘泵业
产品简介
螺杆泵,亦称“螺旋扬水机”、“阿基米德螺旋泵”。利用螺旋叶片的旋转,使水体沿轴向螺旋形上升的一种泵。由轴、螺旋叶片、外壳组成。抽水时,将泵斜置水中,使水泵主轴的倾角小于螺旋叶片的倾角,螺旋叶片的下端与水接触。当原动机通过变速装置带动螺旋泵轴旋转时,水就进入叶片,沿螺旋型流道上升,直至出流。结构简单,制造容易,流量较大,水头损失小,效率较高,便于维修和保养,但扬程低,转速低,需设变速装置。多用于灌溉、排涝,以及提升污水、污泥等场合。中国从20世纪70年代开始使用。
产品详情
产品特点
在线清洗强制喂料螺杆泵的装置包括原动机、变速传动装置和螺旋泵三部分,如图1所示,具体是由螺旋叶片1、泵轴2、轴承座 3和外壳4组成的。螺旋泵倾斜装在上、下水池之间,螺杆泵的下端叶片浸入到水面以下。当泵轴旋转时,螺旋叶片将水池中的水推入叶槽,水在螺旋的旋转叶片作用下,沿螺旋轴一级一级往上提升,直至螺旋泵的出水口。螺旋泵只改变流体的位能,它不同于叶片式水泵将机械能转换为输送液体的位能和动能。
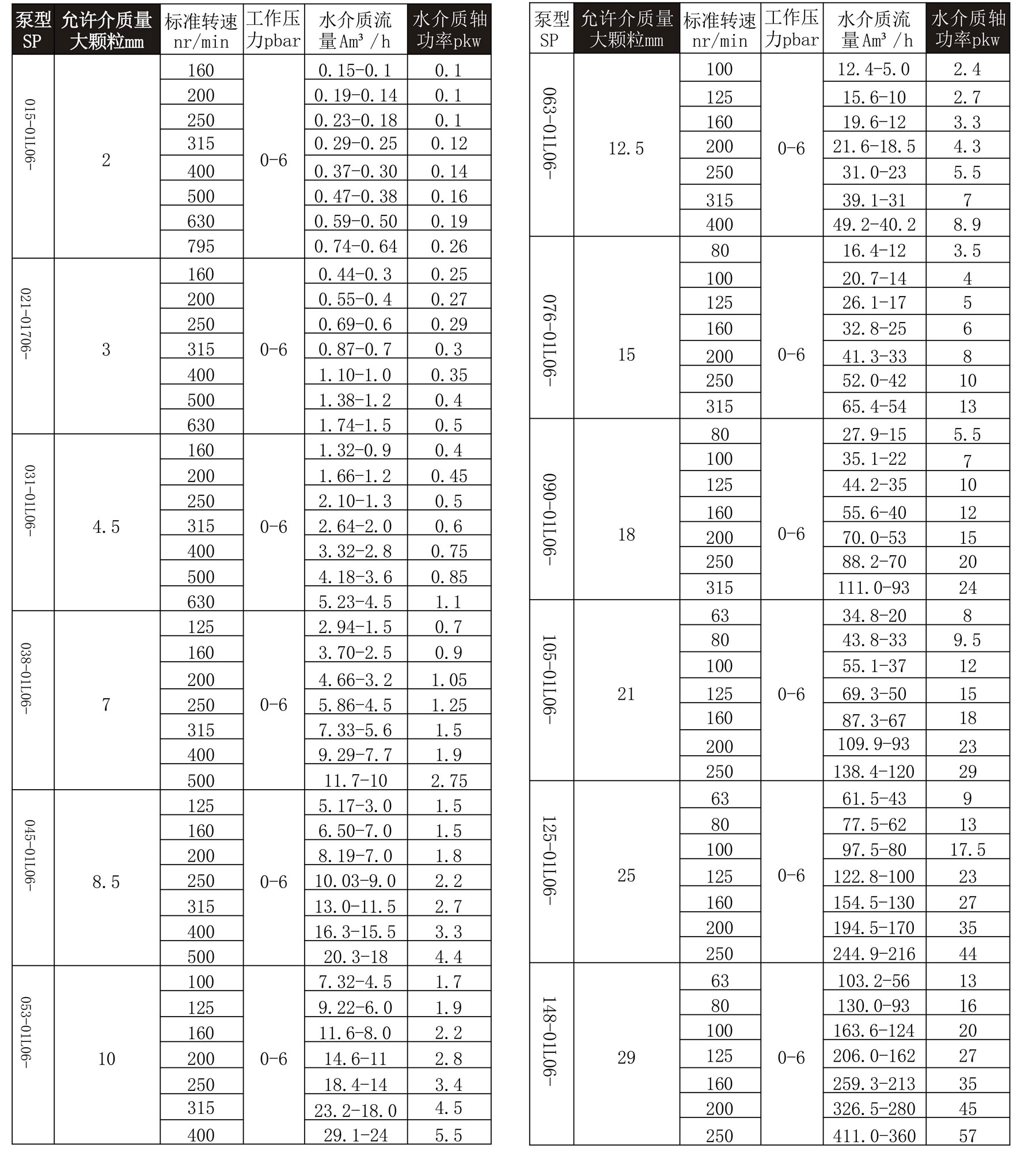
型号参数
性能参数用于:G型系列,NM型系列,BN型系列,C型系列等,具体选型可联系工程师



IMC不锈钢磁力泵
碳化硅泵-耐腐耐磨泵
陶瓷泵-耐酸耐碱泵