欢迎来到江苏玖弘泵业有限公司官方网站
江苏玖弘泵业有限公司

免费服务热线

18115917887

您当前的位置: 首页 > 螺杆泵 > 螺杆泵产品

直联型螺杆泵-紧凑型螺杆泵-江苏玖弘泵业

产品简介

产品详情

直联型螺杆泵-紧凑型螺杆泵-江苏玖弘泵业(图1)

直联型螺杆泵-紧凑型螺杆泵-江苏玖弘泵业(图2)


产品特点

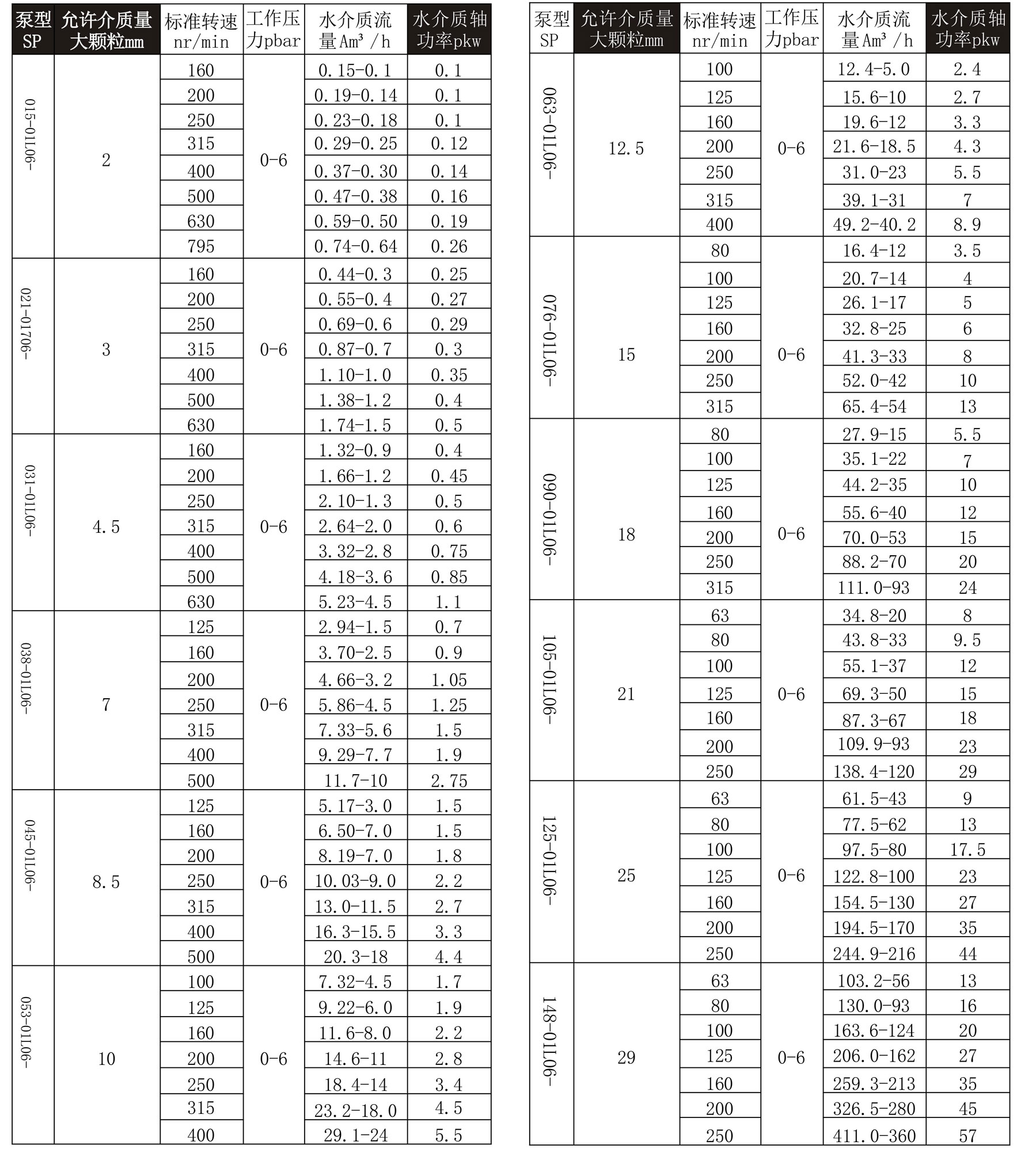
型号参数

性能参数用于:G型系列,NM型系列,BN型系列,C型系列等,具体选型可联系工程师

螺杆泵性能参数(1)_00(1).png

螺杆泵性能参数(1)_01.jpg

螺杆泵性能参数(1)_02.jpg


相关文章

十余年专注泵业 泵阀就选我们

以世界技术为先导,国际水平为目标,向科技求发展,向质量求生存,向信誉求市场,向管理求效益

联系电话:18115917887 立即咨询