轴承支架型螺杆泵-立式螺杆泵-江苏玖弘泵业
产品简介
连续低脉动输送,不受压力与粘度波动影响;
输送量与转速成正比,在整个转速范围内均能高精度计量;
高压无阀输送;
机械密封直接位于泵腔入口下方,无需外部冲洗密封。
产品详情
产品特点
连续低脉动输送,不受压力与粘度波动影响;
输送量与转速成正比,在整个转速范围内均能高精度计量;
高压无阀输送;
机械密封直接位于泵腔入口下方,无需外部冲洗密封。
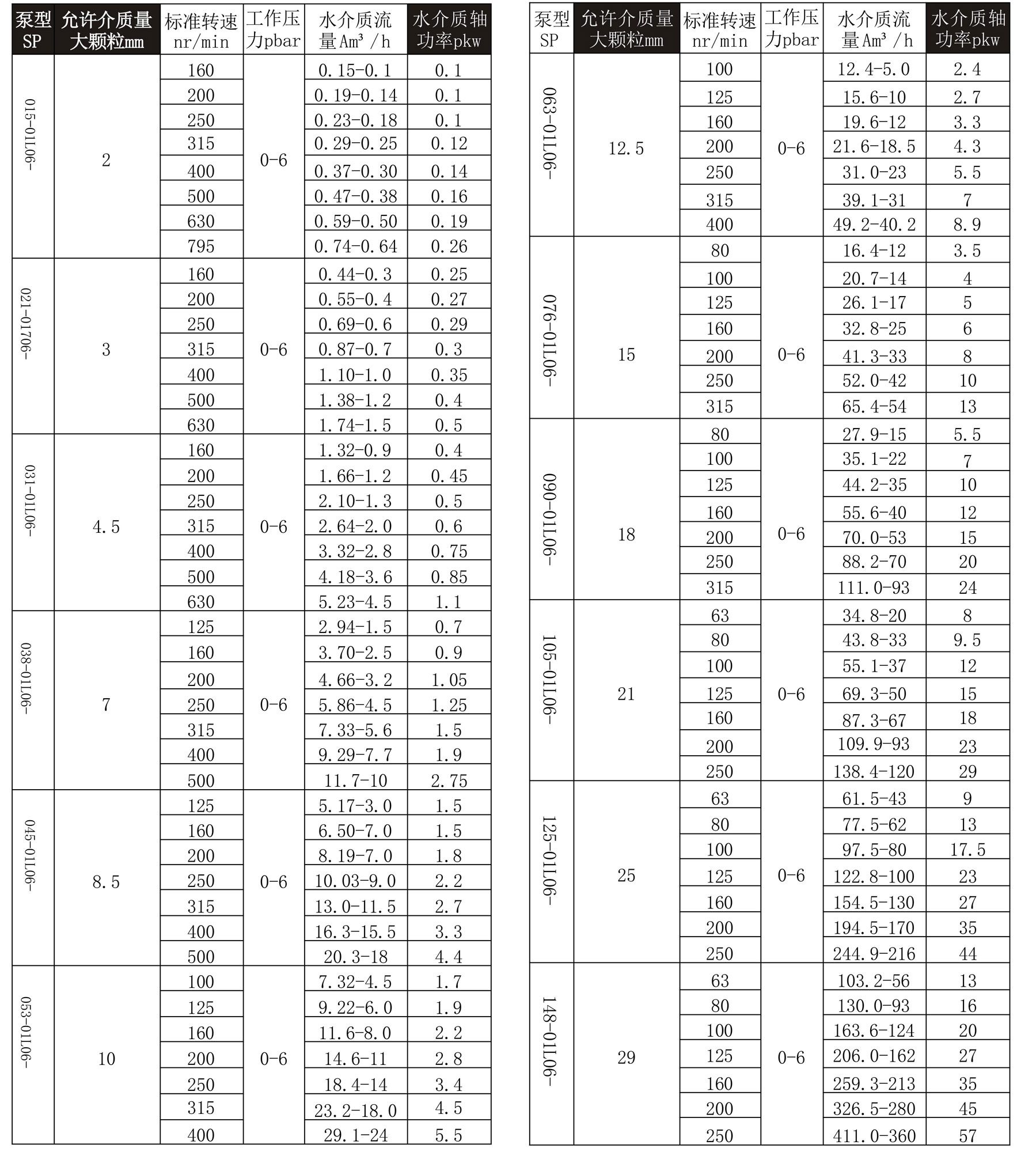
型号参数
性能参数用于:G型系列,NM型系列,BN型系列,C型系列等,具体选型可联系工程师



IMC不锈钢磁力泵
碳化硅泵-耐腐耐磨泵
陶瓷泵-耐酸耐碱泵